全丽生物:以IO技术“看见”产业新价值

创造新商业价值。
近年来,生物发酵、纳米材料、植物干细胞、基因工程,都是化妆品行业重要的技术。
其中,生物发酵指的是利用微生物的代谢活动,将原料转化为具有特定功能的化妆品成分。因具备富集功效物质,能改进并优化原有功效成分性状,以及解决原料安全风险问题等优势,成为当下行业技术中的主流。
△ 一篇关于全新极端微生物代谢产物功效的论文在中国知网首发
一个月前,一篇关于全新极端微生物代谢产物功效的论文——《极端红曲霉高粱发酵产物的抗氧化性和抗炎性》,在中国知网(CNKI)首发,并将刊登于CA(化学文摘(美))、WJCI(科技期刊世界影响力指数报告)收录的北大核心期刊《食品工业科技》。
据悉,该论文由云南中烟工业有限责任公司技术中心、茅台学院(贵州茅台酒厂(集团)有限责任公司所属)及上海全丽生物科技有限公司(以下简称“全丽生物”)联合发表。
此前,2022年中国香料香精化妆品行业科技大会暨第十四届学术研讨会上,经过业界专业评委严格评选,一篇题目为《酱香白酒极端红曲高粱发酵产物对皮肤光老化的影响及其机制研究》的论文,与国际集团、知名高校近百篇科研论文同台竞技,最终荣获二等奖,而这研究的背后,仍是由贵州茅台集团与全丽生物联合发表。
△ 全丽生物联合发表的论文获得中国化妆品界“奥斯卡奖”之称的论文评比二等奖
上述两篇论文中阐述的颠覆性技术,就是全丽生物最前沿的核心科技——IUS ORIGIUS极端微生物发酵技术(以下简称“IO技术”)。以尖端的生物技术深耕化妆品行业30载,全丽生物在素有中国化妆品界“奥斯卡奖”之称的学术会议上获奖,其IO技术将给美妆行业带来哪些创新和颠覆,在生物发酵研发上又打造了哪些技术壁垒呢?
△ 全丽生物负责人接受C2CC传媒X新妆的采访
5月12日,27届中国美容博览会上,全丽生物CEO方祥铭及CSO李焞接受了C2CC传媒X新妆的采访,并详细介绍了全丽生物近年来在科研领域的创新布局,尤其在IO、红缨子乳酸菌发酵等核心技术上的突破。
IUS ORIGIUS极端微生物发酵技术
将给美妆行业带来哪些创新和颠覆?
“IO具有显著的抗氧化、抗炎和免疫调节作用,能改善皮肤屏障及抵御细胞氧化损伤,这将使消费者对抗衰老产品的理解发生巨大的变化。”方祥铭在现场表示,IO技术及产物的开发应用,让全丽生物在功效、质量与安全性上实现行业翻天覆地的变革,这必将带来深远的市场影响。
那么,什么是IO技术呢?
极端微生物,是指各类能够在极端恶劣环境中,生长和繁殖于超常生态环境条件下的微生物。
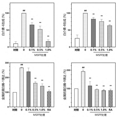
近年来,全丽生物的研究围绕一株能够耐受多重极端环境胁迫,编号YX-1125 的极端微生物,以及茅台镇(仁怀,贵州)的有机糯高粱——红缨子,并开发出一种新型新型的源自该菌种与高粱的发酵滤液(Monascus and Sorghum Fermentation Filtrate,MSFF)。
△ IO中不同化合物种类的定量数据(来源:《极端红曲霉高粱发酵产物的抗氧化性和抗炎性》)
研究结果表明,IO富含丙酸、丁酸、乙酸等多种短链脂肪酸、酚类化合物和17种氨基酸等生物活性物质,且具有较强的复合抗氧化及抑制炎症能力。
△ IO减少促炎症细胞因子的效果(来源:《极端红曲霉高粱发酵产物的抗氧化性和抗炎性》)
通过体外细胞实验,证实IO能够抑制自由基并可作用于细胞化合物的氧化起始阶段,亦具有减少细胞中活性氧生成的能力,以及能够有效减弱UV 引起的皱纹形成相关的MMPs 表达。
更难能可贵的是,IO不涉及任何人为添加及基因改造,安全性远超同类产品,这彻底改变人们对功能性产品安全性的传统看法。此外,细胞毒性试验、鸡胚绒毛尿囊膜试验、敏感源筛查、动物安全实验和人体斑贴试验,这五重维度的安全验证,结果都说明了IO的人体使用安全。
△ 展会现场展示的“全丽之道”
“针对提亮与抗氧化方面,我们另开发了红缨子乳酸菌发酵液,富含单宁、儿茶酸和阿魏酸等出色的皮肤抗氧化成分。”李焞介绍说,IO与红缨子乳酸菌发酵液两者复配,可开发出同时具备抗衰老、免疫调节与抗氧化三重功效的产品,打造出高度天然、有机且多重功效的抗衰系列。
全丽生物实现了对微生物菌株的深度解析与控制,有能力开发出针对不同肤质与需求的自定义产品,为不同的品牌客户提供定制产品与服务。同时,技术融合也使产品种类更加丰富,这将使产品线更加完善,能满足不同消费者的全面需求。
个性化定制微生态护肤解决方案
打造高效的ODM服务
功效时代下,科技驱动产业创新,技术壁垒成为企业增长的制胜利器。
全丽生物就是其中的践行者,此次参展美博会就带来了两大亮点:
一是拥有领先的微生物发酵技术和产品研发实力。针对不同品牌和消费者,开发出个性化的微生态护肤解决方案和产品。这些产品不但新颖独特,更能切准品牌定位和消费者需求。
二是坚持「天然、安全、有效」的产品理念。不同于常规化妆品使用各种化学成分,全丽生物只使用严格筛选的天然微生物、营养物质和植物提取物,减少过敏和刺激风险,达到增效减害的目的,使产品既天然又适用于各种肌肤。这体现了其对消费者健康和安全的高度重视。
“全丽生物秉持「共创共赢」的理念,我们在技术和理念上的领先,通过提供差异化产品和高效的ODM服务,与品牌客户密切合作,共同回应现代人对天然、个性化和安全产品的需求。”方祥铭表示。
△ 全丽生物的展馆内部实拍
在展会现场,笔者发现全丽生物是一家非常善于洞察市场需求且科学传播的ODM/OEM企业,展馆内分为“真‧无防腐技术”、“IUS ORIGIUS细胞根源修护”、“中医药理应用”及“AI自动化开发设计”等主题,其差异化的表达,能瞬间吸引来往的参展观众,又吸引了诸多观众前来咨询。
对全丽生物来说,“隐形资产”是真正能代表企业核心价值的科技力量。如以“密安瓶”和“一原瓶”等作为产品功效和质量保障的基石,能最大限度保留原料新鲜与营养,产品更加天然安全。利用全新极端微生物二段式发酵得到一种新型产物,能改善皮肤微环境与根源性修护细胞损伤,实现皮肤抗衰老与抗炎症并行。运用古籍经典传方,以及中医名家验方进行转化,开发出更加全面与温和的产品。利用植物发酵液替代配方中的纯水,研制稳定与功效并存的产品。这些技术不但使全丽生物的产品功能独特,也使他们在行业内获得持续的竞争优势。
2023年新消费趋势下,
全丽生物开展高质量发展
2023年后疫情时代,中国的消费市场呈现出回归消费理性、追求悦己体验、拥抱多元创新、要绿色可持续和追逐技术跃升的趋势,而天然有机、抗衰老与免疫调节产品则成为美妆市场新宠,微生态与新材料研发更是成为了重点,个性化与定制化研究亦逐渐升温。
那么,全丽生物在这一轮的巨变中,将如何把握这些趋势呢?
近年来,全丽生物在研发领域的持续布局,就展示了其前瞻性和专业度,并取得了不俗的成效:
△ 全丽生物前沿的微生物发酵工程技术研究项目
一是参与了前沿的微生物发酵工程技术研究项目,并获得国家级及省级项目资助,通过顶尖的微生物培养与筛选平台,致力于发掘对皮肤有益的新型微生物菌株与代谢产物;
二是获得10余项由微生物发酵衍生的植物新成分与功能性原料相关发明专利,拥有极高的应用价值,可开发出新型的天然功能性产品;
三是研制出成功能修护皮肤屏障、平衡皮肤菌群、促进胶原生成的微生态精华系列,开创了微生态化妆品的新范畴;
四是建立起AI驱动的自动化产品开发体系,从生物知识图谱分析、个性化解决方案制定到产品研发,保证产品的高效性与准确性;
五是在国际学术期刊上发表多篇微生物发酵与皮肤衰老及炎症的论文,并将进一步发表皮肤微生态方面的论文,彰显了全丽生物在微生态化妆品领域的深厚科研实力与权威地位。
“除了加大核心技术的研发投入,我们将开发出更多功能极致的天然有机和抗衰老产品,满足消费者的追求,并开发针对免疫调节与皮肤免疫的产品,抢占市场先机。”方祥铭介绍说,不仅要强化与客户的战略合作,提供定制化产品与解决方案,并加强客户的产品应用培训,加大新媒体投入与运营,提高其在新媒体平台的认知度与影响力。
在展会现场,全丽生物外还集合了国内外的护肤研究中心、生产厂家等产品供应链与生产体系,打造更加灵活与高效的全球采购与制造,降低环球市场变化带来的风险。
提到研发体系的打造时,李焞表示研发并非随意为之,而要从企业战略下手,其研发方向应符合企业的发展战略与定位,同时立足市场真正的需求,开发出真正符合市场需求的产品,在核心技术上持续创新与突破,形成技术壁垒,结合产学研,落实研发管理。
据介绍,未来全丽生物将继续加大研发投入,不断完善和创新核心技术,开拓产品与市场新领域,实现企业高质量发展。
总结:生物发酵技术满足当下消费者对天然、安全产品的追求,也与植物功效概念不谋而合,这使其在化妆品行业发展迅猛。全丽生物多年来一直深耕生物科技领域,特别在高新技术的运用上实现了行业颠覆性创新。全丽生物已然成为全球生物技术化妆品应用的领军企业,其战略布局令人瞩目。
全丽生物以独特眼光与勇气投入IO技术的开发,重新“发现”了化妆品的可能,最终将其成功转化为产业新机遇。这种对技术应用潜力的“发现”,使全丽生物在同行中脱颖而出,成为业内风向标。
生物科技给予传统化妆品以“新生”,而全丽生物则是这“新生”的主要缔造者与受益者。这家企业像一位睿智的美妆行业探险家,以独特视角“发现”技术带来的产业新机遇,并勇敢探索新技术的边疆,为消费者开拓舒适而充满惊喜的美妆体验之旅。这份睿智与勇气,造就了一家不同凡响的企业。
免责声明
本网刊发或转载各类资讯,是出于传递更多信息之目的,并不以赢利为目的,也不意味着赞同其观点或证实其内容的真实性。
C2CC历来重视版权等知识产权保护,如本网转载之部分资讯、稿件涉及版权等问题,请作者在本网发布该文两周内速来电或来函与我们联系,C2CC会及时处理。
凡本网原创稿件,版权归本网所有,并遵循CC创作共用约定。其他媒体(包括网络媒体和传统媒体)转载C2CC原创稿件时须在明显位置注明信息来源:C2CC中国化妆品网。


